第18回 鉄鋼材料の種類 Part17
第2章-17
第2章 鉄鋼材料とは
3. 表面処理鋼板
6. 塗装鋼板
塗装鋼板は、別名「プレコート鋼板」といい、各種めっき鋼板に塗装したもので、使用量は増加しています。
下地には、溶融亜鉛めっき鋼板、電気亜鉛めっき鋼板、Zn-Ni合金めっき鋼板、合金化溶融亜鉛めっき鋼板、Zn-5%Al合金めっき鋼板、ステンレス鋼板などが使用され、塗料としては、ポリエステル、PVC(ポリ塩化ビニル)ゾル、ふっ素樹脂、アクリル樹脂、高分子ポリエステルなどが使用されます。
また、各メーカーのプライベートブランド品が多く流通しており、塗装鋼板は加工前に塗装済であることから、工程短縮、作業環境の向上、価格低減などの利点がある反面、加工、ハンドリング時のキズ対策、切断端面部、曲げ加工部などの耐食性、溶接ができない等の問題点があります。
6-1. 塗装溶融亜鉛めっき鋼板(JIS G3312)
溶融亜鉛めっき鋼板(JIS G3302)に規定された冷間圧延鋼板を用いた溶融亜鉛めっき鋼板に、耐久性のある合成樹脂塗料を均一に塗装、焼き付けした表面処理鋼板です。
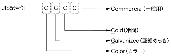
1) 種類、記号

種類の記号
| 種類の記号 | 表示厚さ(mm) | 適用 | 原板の種類の記号 |
|---|---|---|---|
| CGCC | 0.25以上2.3以下 | 一般用 | SGCC |
| CGCH | 0.11以上1.0以下 | 硬質一般用 | SGCH |
| CGCD1 | 0.40以上2.3以下 | 絞り用1種 | SGCD1 |
| CGCD2 | 絞り用2種 | SGCD2 | |
| CGCD3 | 0.60以上2.3以下 | 絞り用3種 | SGCD3 |
| CGC340 | 0.25以上1.6以下 | 高強度一般用 | SGC340 |
| CGC400 | SGC400 | ||
| CGC440 | SGC440 | ||
| CGC490 | SGC490 | ||
| CGC570 | SGC570 |
6-2. 塗装溶融亜鉛-5%アルミニウム合金めっき鋼板(JIS G3318)
冷間圧延原板を用いた溶融亜鉛-5%アルミニウム合金めっき鋼板に、耐久性のある合成樹脂塗料を均一に塗装、焼き付けした表面処理鋼板です。
1) 種類、記号

種類の記号
| 種類の記号 | 表示厚さ(mm) | 適用 | 原板の種類の記号 |
|---|---|---|---|
| CZACC | 0.25以上2.3以下 | 一般用 | SZACC |
| CZACH | 0.25以上1.0以下 | 硬質一般用 | SZACH |
| CZACD1 | 0.40以上2.3以下 | 絞り用1種 | SZACD1 |
| CZACD2 | 絞り用2種 | SZACD2 | |
| CZACD3 | 0.60以上2.3以下 | 絞り用3種 | SZACD3 |
| CZAC340 | 0.25以上1.6以下 | 高強度一般用 | SZAC340 |
| CZAC400 | SZAC400 | ||
| CZAC440 | SZAC440 | ||
| CZAC490 | SZAC490 | ||
| CZAC570 | SZAC570 |
7. ラミネート鋼板
薄いフィルム(PVC:ポリ塩化ビニル、ふっ化ビニル、ポリエステル等)を張り付けた鋼板です。
ラミネート面に塗装、印刷を行うことができ、ジュースの缶、ビール缶等身近なところにも使用されています。
8. 表面処理鋼板のプライベートブランド
表面処理鋼板は、JIS規格化されているもの、されていないものも含めて、メーカー(新日鉄住金等)の商品名(プライベートブランド)で呼ばれることがあります。各メーカーの商品名は次の通りです。
| 品種 | 商品名(メーカー名) | JIS記号例 | 被膜構造 | 特長 |
|---|---|---|---|---|
| 溶融亜鉛 めっき鋼板 |
亜鉛鉄板(日本製鉄) | SGHC SGCC |
原板にZnを溶融めっき | 耐食性に優れる |
| NSシルバージンク (日本製鉄) |
||||
| JFEガルバジンク (JFEスチール) |
||||
| ペンタイトB(日新製鋼) | ||||
| NSシルバーアロイ (日本製鉄) |
SGHC SGCC |
原板にZn-Fe合金を溶融めっき | 塗装性、耐食性、溶接性に優れる | |
| JFEガルバジンクアロイ (JFEスチール) |
||||
| ペンタイト(日新製鋼) | ||||
| JFEエコガル (JFEスチール) |
SZAHC SZACC |
Zn-5%Al | さらに耐食性に優れる | |
| JFEガルバリウム (JFEスチール) |
SGLHC SGLCC |
原板にZn-55%A溶融めっき | 特に耐食性に優れる | |
| ガルバリウム(日本製鉄) | ||||
| ZAM(日新製鋼) | SGMHC SGMCC |
Zn-6%Al-3%Mg | 特に耐食性に優れる | |
| スーパーダイマ(日本製鉄) | Zn-11%Al-3%Mg-0.2%Si | |||
| 電気亜鉛 めっき鋼板 |
NSジンコート(日本製鉄) | SEHC SECC |
原板にZnを電気めっき | 加工性に優れる(電気めっき共通) |
| JFEエクセルジンク (JFEスチール) |
||||
| シルバートップ(東洋鋼板) | ||||
| ボンデ鋼板(日本製鉄) | Znめっきにりん酸塩処理 | 塗装性の改良 | ||
| NSジンクライト(日本製鉄) | 原板にZn-Ni合金を電気めっき | さらに耐食性に優れる | ||
| JFEエクセルジンクニッケル (JFEスチール) |
||||
| めっき鋼板 アルミニウム |
アルシート(日本製鉄) | SA1C | 原板にAl-Si合金を溶融めっき | 耐熱性、耐食性に優れる |
| アルスター(日新製鋼) | ||||
| 鋼板めっきターン | ターンシート(日本製鉄) | 原板にPb-Sn合金を溶融めっき | 耐食性、半田性がよい | |
| 塗覆装鋼板 | ウェルコートU(日本製鉄) | Zn-Ni合金めっき層にウェルコート | 耐型かじり、溶接性に優れる | |
| エリオ鋼板(日本製鉄) | Znめっき層に塩ビetc.塗装 | 外観美しい、模様・文字の印刷が可能 | ||
| JFEカラー(JFEスチール) | CGCC | Znめっき層に樹脂塗装 | 多種塗装あり | |
| 塩ビ鋼板(一般名) | Znめっき層に塩ビ樹脂塗装 | 加工部を含め耐食性に優れる | ||
| 鋼板ラミネート | ハイペット(東洋鋼板) | TFSにポリエステルフィルムをラミネート | 外観美しい、塗装・印刷が可能 |
